来源:北极星风力发电网 时间:2015-05-12
风速:空气相对于地球某一固定地点的运动速率,风速的常用单位是m/s 。
平均风速:一定时段内,数次观测的风速的平均值。一般表达方式为[m/s]。瞬时风速:某时刻空间某点上的真实风速,由平均风速和脉动风速组成。

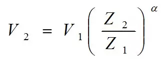
风切变:风速随高度的变化规律称之为风切变,在大气边界层中,风速随高度发生变化,其变化规律称为风速廓线,一般以对数或幂指数方程形式表现,其指数α就是风切变指数。

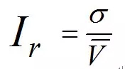
湍流强度:反映脉动风速的相对强度,是衡量风稳定性的重要指标。其计算公式如下,是脉动风速的均方差与平均风速的比值。

风能:空气运动的动能
风功率密度:单位面积时,风能具有的功率(W/m2),计算公式如下:
风功率密度:单位面积时,风能具有的功率(W/m2),计算公式如下:

风向:指风的方向,通常用16个方位来表示风向。按照月或者年统计风向变化的平均值,可以绘制出风向玫瑰图。


50年一遇最大风速:风电场在设计时,从安全性和经济性综合考虑,要合理确定一个设计最大风速,这个值是要间隔相当时期才会出现的(间隔的时期为重现期),根据全国风能资源评价技术规定,风电场设计的重现期为50年,即50年一遇最大风速。
代表年风资源数据:根据风电场附近气象站等长期测站观测数据,用相关分析的方法将验证后的风电场测风数据订正为一套反映风电场长期平均水平的代表性数据,即风电场代表年的逐小时风速风向数据。
代表年风资源数据:根据风电场附近气象站等长期测站观测数据,用相关分析的方法将验证后的风电场测风数据订正为一套反映风电场长期平均水平的代表性数据,即风电场代表年的逐小时风速风向数据。


企业新闻